

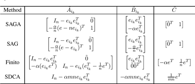
We develop a simple routine unifying the analysis of several important recently-developed stochastic optimization methods including SAGA, Finito, and stochastic dual coordinate ascent (SDCA). First, we show an intrinsic connection between stochastic optimization methods and dynamic jump systems, and propose a general jump system model for stochastic optimization methods. Our proposed model recovers SAGA, SDCA, Finito, and SAG as special cases. Then we combine jump system theory with several simple quadratic inequalities to derive sufficient conditions for convergence rate certifications of the proposed jump system model under various assumptions (with or without individual convexity, etc). The derived conditions are linear matrix inequalities (LMIs) whose sizes roughly scale with the size of the training set. We make use of the symmetry in the stochastic optimization methods and reduce these LMIs to some equivalent small LMIs whose sizes are at most 3 by 3. We solve these small LMIs to provide analytical proofs of new convergence rates for SAGA, Finito and SDCA (with or without individual convexity). We also explain why our proposed LMI fails in analyzing SAG. We reveal a key difference between SAG and other methods, and briefly discuss how to extend our LMI analysis for SAG. An advantage of our approach is that the proposed analysis can be automated for a large class of stochastic methods under various assumptions (with or without individual convexity, etc).