



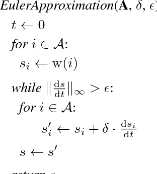
Weighted bipolar argumentation frameworks allow modeling decision problems and online discussions by defining arguments and their relationships. The strength of arguments can be computed based on an initial weight and the strength of attacking and supporting arguments. While previous approaches assumed an acyclic argumentation graph and successively set arguments' strength based on the strength of their parents, recently continuous dynamical systems have been proposed as an alternative. Continuous models update arguments' strength simultaneously and continuously. While there are currently no analytical guarantees for convergence in general graphs, experiments show that continuous models can converge quickly in large cyclic graphs with thousands of arguments. Here, we focus on the high-level ideas of this approach and explain key results and applications. We also introduce Attractor, a Java library that can be used to solve weighted bipolar argumentation problems. Attractor contains implementations of several discrete and continuous models and numerical algorithms to compute solutions. It also provides base classes that can be used to implement, to evaluate and to compare continuous models easily.