



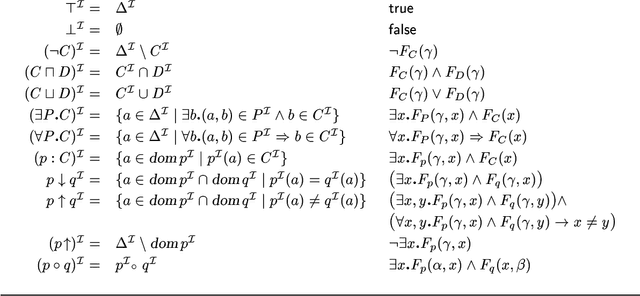
A class of interval-based temporal languages for uniformly representing and reasoning about actions and plans is presented. Actions are represented by describing what is true while the action itself is occurring, and plans are constructed by temporally relating actions and world states. The temporal languages are members of the family of Description Logics, which are characterized by high expressivity combined with good computational properties. The subsumption problem for a class of temporal Description Logics is investigated and sound and complete decision procedures are given. The basic language TL-F is considered first: it is the composition of a temporal logic TL -- able to express interval temporal networks -- together with the non-temporal logic F -- a Feature Description Logic. It is proven that subsumption in this language is an NP-complete problem. Then it is shown how to reason with the more expressive languages TLU-FU and TL-ALCF. The former adds disjunction both at the temporal and non-temporal sides of the language, the latter extends the non-temporal side with set-valued features (i.e., roles) and a propositionally complete language.