



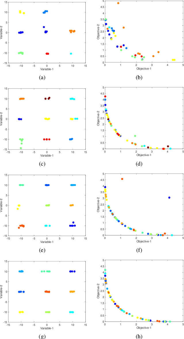
In solving multi-modal, multi-objective optimization problems (MMOPs), the objective is not only to find a good representation of the Pareto-optimal front (PF) in the objective space but also to find all equivalent Pareto-optimal subsets (PSS) in the variable space. Such problems are practically relevant when a decision maker (DM) is interested in identifying alternative designs with similar performance. There has been significant research interest in recent years to develop efficient algorithms to deal with MMOPs. However, the existing algorithms still require prohibitive number of function evaluations (often in several thousands) to deal with problems involving as low as two objectives and two variables. The algorithms are typically embedded with sophisticated, customized mechanisms that require additional parameters to manage the diversity and convergence in the variable and the objective spaces. In this letter, we introduce a steady-state evolutionary algorithm for solving MMOPs, with a simple design and no additional userdefined parameters that need tuning compared to a standard EA. We report its performance on 21 MMOPs from various test suites that are widely used for benchmarking using a low computational budget of 1000 function evaluations. The performance of the proposed algorithm is compared with six state-of-the-art algorithms (MO Ring PSO SCD, DN-NSGAII, TriMOEA-TA&R, CPDEA, MMOEA/DC and MMEA-WI). The proposed algorithm exhibits significantly better performance than the above algorithms based on the established metrics including IGDX, PSP and IGD. We hope this study would encourage design of simple, efficient and generalized algorithms to improve its uptake for practical applications.