



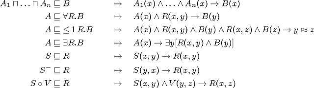
Conjunctive query answering over expressive Horn Description Logic ontologies is a relevant and challenging problem which, in some cases, can be addressed by application of the chase algorithm. In this paper, we define a novel acyclicity notion which provides a sufficient condition for termination of the restricted chase over Horn-SRIQ TBoxes. We show that this notion generalizes most of the existing acyclicity conditions (both theoretically and empirically). Furthermore, this new acyclicity notion gives rise to a very efficient reasoning procedure. We provide evidence for this by providing a materialization based reasoner for acyclic ontologies which outperforms other state-of-the-art systems.