



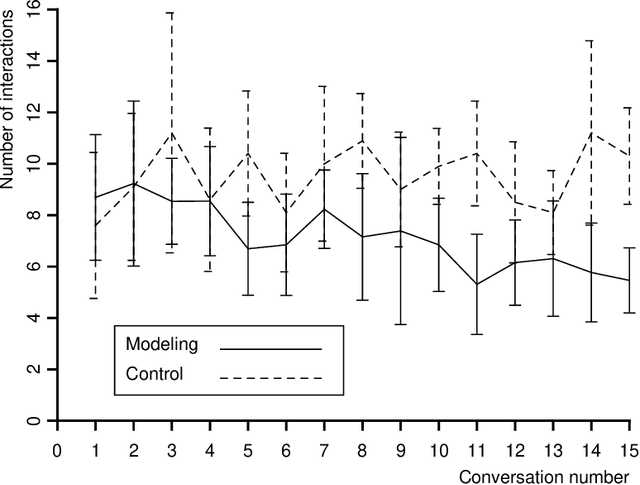
Searching for and making decisions about information is becoming increasingly difficult as the amount of information and number of choices increases. Recommendation systems help users find items of interest of a particular type, such as movies or restaurants, but are still somewhat awkward to use. Our solution is to take advantage of the complementary strengths of personalized recommendation systems and dialogue systems, creating personalized aides. We present a system -- the Adaptive Place Advisor -- that treats item selection as an interactive, conversational process, with the program inquiring about item attributes and the user responding. Individual, long-term user preferences are unobtrusively obtained in the course of normal recommendation dialogues and used to direct future conversations with the same user. We present a novel user model that influences both item search and the questions asked during a conversation. We demonstrate the effectiveness of our system in significantly reducing the time and number of interactions required to find a satisfactory item, as compared to a control group of users interacting with a non-adaptive version of the system.