



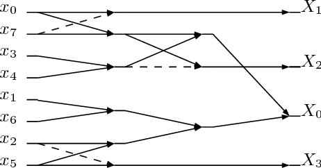
A multiplierless pruned approximate 8-point discrete cosine transform (DCT) requiring only 10 additions is introduced. The proposed algorithm was assessed in image and video compression, showing competitive performance with state-of-the-art methods. Digital implementation in 45 nm CMOS technology up to place-and-route level indicates clock speed of 288 MHz at a 1.1 V supply. The 8x8 block rate is 36 MHz.The DCT approximation was embedded into HEVC reference software; resulting video frames, at up to 327 Hz for 8-bit RGB HEVC, presented negligible image degradation.