



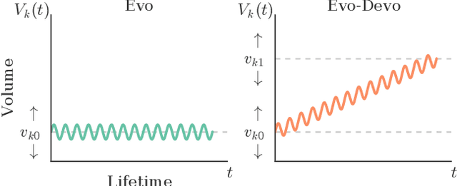
Different subsystems of organisms adapt over many time scales, such as rapid changes in the nervous system (learning), slower morphological and neurological change over the lifetime of the organism (postnatal development), and change over many generations (evolution). Much work has focused on instantiating learning or evolution in robots, but relatively little on development. Although many theories have been forwarded as to how development can aid evolution, it is difficult to isolate each such proposed mechanism. Thus, here we introduce a minimal yet embodied model of development: the body of the robot changes over its lifetime, yet growth is not influenced by the environment. We show that even this simple developmental model confers evolvability because it allows evolution to sweep over a larger range of body plans than an equivalent non-developmental system, and subsequent heterochronic mutations 'lock in' this body plan in more morphologically-static descendants. Future work will involve gradually complexifying the developmental model to determine when and how such added complexity increases evolvability.