



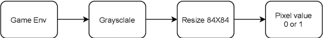
To perform well, Deep Reinforcement Learning (DRL) methods require significant memory resources and computational time. Also, sometimes these systems need additional environment information to achieve a good reward. However, it is more important for many applications and devices to reduce memory usage and computational times than to achieve the maximum reward. This paper presents a modified DRL method that performs reasonably well with compressed imagery data without requiring additional environment information and also uses less memory and time. We have designed a lightweight Convolutional Neural Network (CNN) with a variant of the Q-network that efficiently takes preprocessed image data as input and uses less memory. Furthermore, we use a simple reward mechanism and small experience replay memory so as to provide only the minimum necessary information. Our modified DRL method enables our autonomous agent to play Snake, a classical control game. The results show our model can achieve similar performance as other DRL methods.