



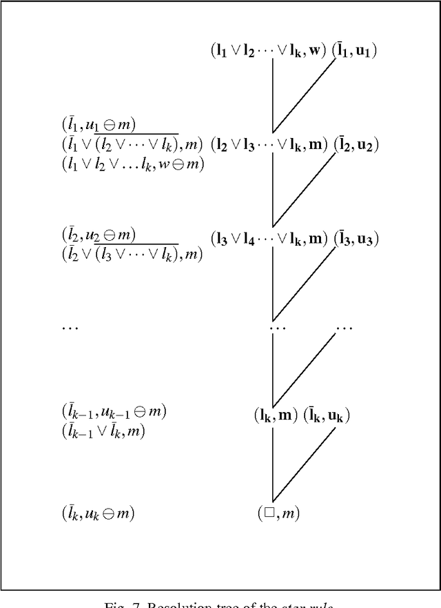
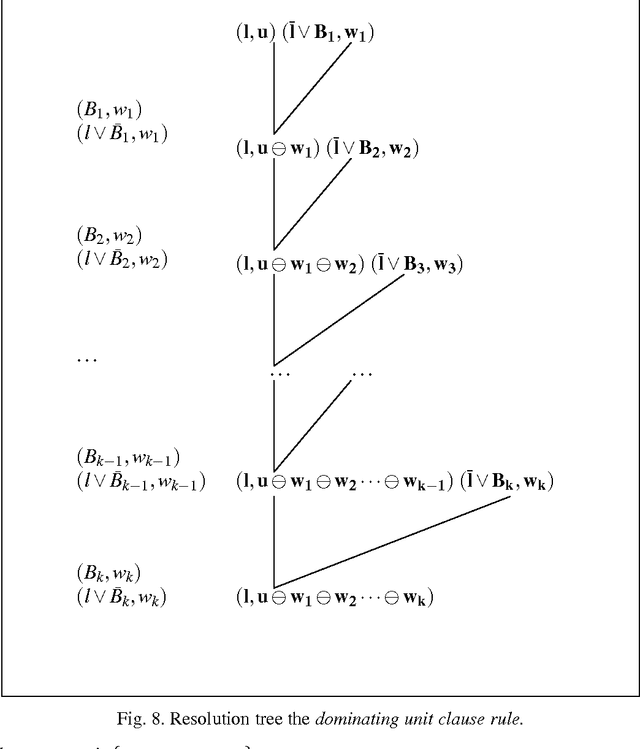
Weighted Max-SAT is the optimization version of SAT and many important problems can be naturally encoded as such. Solving weighted Max-SAT is an important problem from both a theoretical and a practical point of view. In recent years, there has been considerable interest in finding efficient solving techniques. Most of this work focus on the computation of good quality lower bounds to be used within a branch and bound DPLL-like algorithm. Most often, these lower bounds are described in a procedural way. Because of that, it is difficult to realize the {\em logic} that is behind. In this paper we introduce an original framework for Max-SAT that stresses the parallelism with classical SAT. Then, we extend the two basic SAT solving techniques: {\em search} and {\em inference}. We show that many algorithmic {\em tricks} used in state-of-the-art Max-SAT solvers are easily expressable in {\em logic} terms with our framework in a unified manner. Besides, we introduce an original search algorithm that performs a restricted amount of {\em weighted resolution} at each visited node. We empirically compare our algorithm with a variety of solving alternatives on several benchmarks. Our experiments, which constitute to the best of our knowledge the most comprehensive Max-sat evaluation ever reported, show that our algorithm is generally orders of magnitude faster than any competitor.