



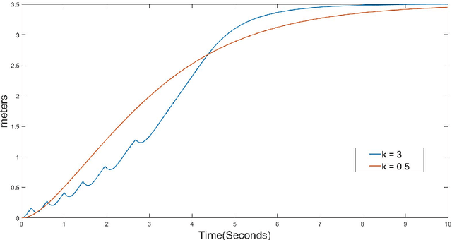
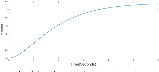
Human drivers utilize the visual cues from the road to performance some fundamental driving tasks, e.g. lane keeping and lane change, for the complex driving maneuvers. Lane keeping and lane change can be generalized as one task, because both of them are to drive a vehicle onto a target lane. In this paper, we first design a lane-change path planner based on HD (High-Definition) map for autonomous driving systems using control theory. Later, applying the similar idea, a lane change controller using a monocular camera is designed.