



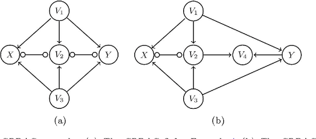
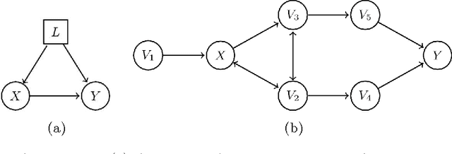
We generalize Pearl's back-door criterion for directed acyclic graphs (DAGs) to more general types of graphs that describe Markov equivalence classes of DAGs and/or allow for arbitrarily many hidden variables. We also give easily checkable necessary and sufficient graphical criteria for the existence of a set of variables that satisfies our generalized back-door criterion, when considering a single intervention and a single outcome variable. Moreover, if such a set exists, we provide an explicit set that fulfills the criterion. We illustrate the results in several examples. R-code is available in the R-package pcalg.