



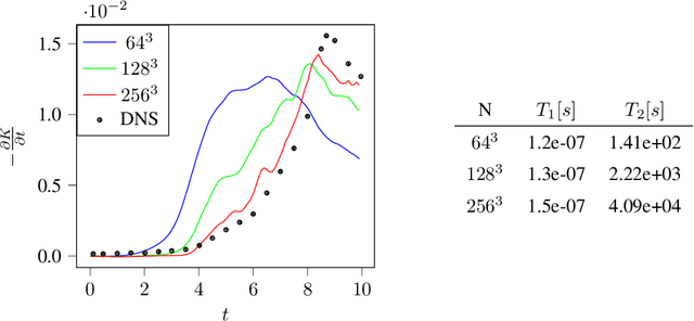
Fluid flows are omnipresent in nature and engineering disciplines. The reliable computation of fluids has been a long-lasting challenge due to nonlinear interactions over multiple spatio-temporal scales. The compressible Navier-Stokes equations govern compressible flows and allow for complex phenomena like turbulence and shocks. Despite tremendous progress in hardware and software, capturing the smallest length-scales in fluid flows still introduces prohibitive computational cost for real-life applications. We are currently witnessing a paradigm shift towards machine learning supported design of numerical schemes as a means to tackle aforementioned problem. While prior work has explored differentiable algorithms for one- or two-dimensional incompressible fluid flows, we present a fully-differentiable three-dimensional framework for the computation of compressible fluid flows using high-order state-of-the-art numerical methods. Firstly, we demonstrate the efficiency of our solver by computing classical two- and three-dimensional test cases, including strong shocks and transition to turbulence. Secondly, and more importantly, our framework allows for end-to-end optimization to improve existing numerical schemes inside computational fluid dynamics algorithms. In particular, we are using neural networks to substitute a conventional numerical flux function.