



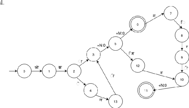
Morphological analyzers are the essential milestones for many linguistic applications like; machine translation, word sense disambiguation, spells checkers, and search engines etc. Therefore, development of an effective morphological analyzer has a greater impact on the computational recognition of a language. In this paper, we present a finite state transducer based inflectional morphological analyzer for a resource poor language of India, known as Maithili. Maithili is an eastern Indo-Aryan language spoken in the eastern and northern regions of Bihar in India and the southeastern plains, known as tarai of Nepal. This work can be recognized as the first work towards the computational development of Maithili which may attract researchers around the country to up-rise the language to establish in computational world.