



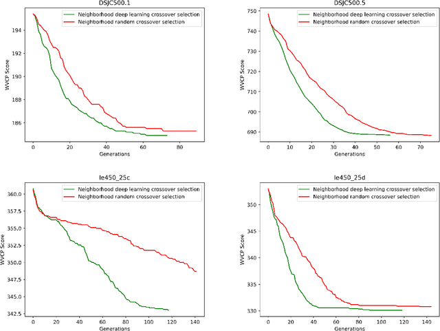
Given an undirected graph $G=(V,E)$ with a set of vertices $V$ and a set of edges $E$, a graph coloring problem involves finding a partition of the vertices into different independent sets. In this paper we present a new framework which combines a deep neural network with the best tools of "classical" metaheuristics for graph coloring. The proposed algorithm is evaluated on the weighted graph coloring problem and computational results show that the proposed approach allows to obtain new upper bounds for medium and large graphs. A study of the contribution of deep learning in the algorithm highlights that it is possible to learn relevant patterns useful to obtain better solutions to this problem.